一、数据库操作
1.查看数据库
show databases;
2.创建数据库
create database if not exists [数据库名] charset UTF8;
- 推荐写
charset UTF8mb4指定字符集 - 以使用反引号包裹关键字作为数据库/列/表的名字
- MySQL的UTF8不是完整的UTF8,UTF8mb4是完整的UTF8
3.选中数据库
对于一个数据库服务器,有很多数据库。
需要先选中,再操作。
use 数据库名;
4.删除数据库
drop database 数据库名;
二、数据类型
1.数字数据类型
| 类型 | 说明 |
|---|---|
| BIT(M) | Mbit(M省略则为1) |
| BOOL | 1byte |
| TINYINT | 1byte |
| SMALLINT | 2byte |
| INT | 4byte |
| BIGINT | 8byte |
| FLOAT | 4byte |
| DOUBLE | 8byte |
| DECIMAL(M,D) | 动态 |
- BIT(M)中(M)填写数字。例如BIT(2)代表占用2bit。
- 用DECIMAL可以表示精确数字,但存储空间更大,运算速度更慢。
- INT可存储的最大数字为21亿。
- DECIMAL不存在精度损失。M是总位数,D是小数点后位数。M最大为65,D最大为30。M默认为10,D默认为0。如果D为零,则没有小数点。
2.字符串类型
| 类型 | 说明 |
|---|---|
| CHAR(M) | 0~255个字符(M省略则为1) |
| VARCHAR(M) | M为最大字符长度,具体长度为实际长度 |
| TINYTEXT | 最大长度为255个字节 |
| TEXT | 最大长度为65535个字节 |
| MEDIUMTEXT | 最大长度为2^24-1个字节 |
| LONGTEXT | 最大长度为2^32-1个字节 |
- 一个字节对应几个字符取决于字符集
- ACSII、GBK:一个英文字符占1个字节,一个中文字符占2个字节
- UTF-8:一个英文字符占1个字节,一个中文字符占3个字节
- Unicode:一个英文字符占2个字节,一个中文字符占2个字节
3.二进制数据
二进制数据指的是图片、视频、音频。
- 在实际开发中,这类二进制数据不会存储在数据库中
- 一般之间按照文件的方式存储在硬盘中,将文件路径存储在数据库中
4.枚举和集合
无
5.日期类型
| 类型 | 说明 |
|---|---|
| DATETIME | 8Bytes,表示为 YYYY-MM-DD hh:mm:ss |
三、数据表操作
1.查看数据库的所有表
show tables;
先使用USE选中数据库,这是进行所有表操作的前提条件。
2.创建数据表
create [temporary] table [if not exists] 表名(列名 类型 [comment "描述"], 列名 类型 [comment "描述"]) [engine 存储引擎] [character set 字符集] [collate 排序规则];
- SQL一般使用蛇形命名法,例如student_id。
- 使用
temporary关键字代表此表不会存储在硬盘中。
3.查看表结构
desc 表名;
+-------+-------------+------+-----+---------+-------+
| Field | Type | Null | Key | Default | Extra |
+-------+-------------+------+-----+---------+-------+
| id | int | YES | | NULL | |
| name | varchar(20) | YES | | NULL | |
+-------+-------------+------+-----+---------+-------+
Null值为YES代表可以不填。Key指索引类型。Default指该列的默认值。Extra指扩展信息。
4.修改表
alter table 表名 动作 列名 类型;
4.1 添加列
alter table meat add age int after name;
# 在name列后添加一个age列,类型为int
+-------+-------------+------+-----+---------+-------+
| Field | Type | Null | Key | Default | Extra |
+-------+-------------+------+-----+---------+-------+
| id | int | YES | | NULL | |
| name | varchar(20) | YES | | NULL | |
| age | int | YES | | NULL | |
+-------+-------------+------+-----+---------+-------+
4.2 修改列类型
alter table student modify age bigint;
# 把age类型改为BIGNIT
+-------+-------------+------+-----+---------+-------+
| Field | Type | Null | Key | Default | Extra |
+-------+-------------+------+-----+---------+-------+
| id | int | YES | | NULL | |
| name | varchar(20) | YES | | NULL | |
| age | bigint | YES | | NULL | |
+-------+-------------+------+-----+---------+-------+
4.3 修改列名
alter table student rename column age to AGE;
# 把age名字改为AGE
+-------+-------------+------+-----+---------+-------+
| Field | Type | Null | Key | Default | Extra |
+-------+-------------+------+-----+---------+-------+
| id | int | YES | | NULL | |
| name | varchar(20) | YES | | NULL | |
| AGE | bigint | YES | | NULL | |
+-------+-------------+------+-----+---------+-------+
4.4 删除列
alter table student drop AGE;
5.删除表
drop table 表名;
四、增删查改
insert into 表名
select from 表名
update 表名
delete from 表名
增
1.普通插入
insert into 表名 values (列元素, 列元素);
2.指定列插入
insert into 表名 (指定列名, 指定列名) values (列元素, 列元素);
3.指定多列插入
insert into 表名 (指定列名, 指定列名) values (列元素, 列元素), (列元素, 列元素);
查
1.全列查询
select * from 表名;
全列查询是危险操作,会涉及到大量的硬盘和网络访问。
2.指定列查询
select 列名, 列名 from 表名;
指定列查询的结果是临时表。
3.查询时带表达式
select name, chinese + 10 from exam;
select name, chinese + math + english from exam;
4.查询时带别名
select name, chinese + math + english as "总成绩" from exam;
5.针对查询结果去重
select distinct 列名 from 表名;
6.条件查询
条件成立,这一行作为查询结果。
| 运算符 | 含义 |
|---|---|
| >、>=、<、<= | 大于、大于等于、小于、小于等于 |
| = | NULL=NULL结果是NULL |
| <=> | NULL=NULL结果是TURE(1) |
| != | 不等于 |
| value BETWEEN a0 AND a1 | 范围是[a0, a1],NOT BETWEEN则取反 |
| value IN | 如果value在option列表中,则返回TRUE(1),NOT IN则取反 |
| 列名 IS NULL | 是NULL |
| 列名 IS NOT NULL | 不是NULL |
| LIKE | 模糊匹配,% 表示任意多个字符(包含0个); _ 表示任意一个字符。NOT LIKE相反 |
| AND | 与 |
| OR | 或 |
| NOT | 非 |
NULL和任何比较都为FALSE!
6.1 基本查询
select name, english from exam where english > 60;
select name, chinese, english from exam where chinese > english;
select name FROM exam where (chinese + math + english) > 200;
带别名无法带入条件
6.2 条件查询
select name, english, chinese from exam WHERE english > 60 and chinese > 60;
select name, english, chinese from exam WHERE english > 60 or chinese > 60;
AND的优先级比OR高。
6.3 范围查询
select name, english from exam where english between 60 and 80;
select name, english from exam where english IN (77, 88, 99);
BETWEEN ... AND ...范围为闭区间
6.4 模糊查询(% _)
select name from exam where name like "孙%";
# 查询所有以孙开头的名字
select name from exam where name like "孙_";
# 查询所有以孙开头的名字,孙后面只有一个字
select name from exam where name like "孙__";
# 查询所有以孙开头的名字,孙后面只有两个字
模糊查询效率较低。
6.5 NULL查询
select * from exam where chinese <=> NULL;
# 查询语文成绩为空值
7.排序查询
select 列名 from 表名 order by 列名 [desc], 列名 [desc];
select * from exam order by chinese desc, math;
select * from exam order by chinese + math + english
select name, chinese + math + english as total from exam order by total desc;
select name, chinese from exam where chinese is not null ORDER BY chinese desc;
- 默认升序排列
- NULL默认是最小的
- 使用
desc降序排列 - 默认
asc升序排列 - 输出结果是临时表
- 列名在前优先级更高
- 排序查询可用
as带别名查询
8.分页操作
通过limit N offset M;或者limit M, N;子句获取从第M条数据开始(从0开始记录),往后N条数据。
不存在越界,最多返回空数据
改
update 表名 set 列名 = 值 where... order by... limit N;
不写where条件默认更改所有行。
删
delete from 表名 where... order by... 列名 limit N;
如果没有条件,会删除所有数据
截断表
无
插入查询结果
把查询的结果插入到另一个表内。
insert into 表名 [(列名)] select 列名 from 表名;
- 查询出来的列数和表结构(类型)相匹配
- 列的名字可以不一样
聚合查询
聚合查询,就是在进行行和行之间的运算。需要借助聚合函数运算,一般是Sql库函数。
| 函数 | 说明 |
|---|---|
| COUNT(列名) | 返回查询到的数据的数量 |
| SUM(列名) | 返回查询到的数据的总和 |
| AVG(列名) | 返回查询到的数据的平均值 |
| MAX(列名) | 返回查询到的数据的最大值 |
| MIN(列名) | 返回查询到的数据的最小值 |
1.COUNT
统计exam表中有多少个记录
select count(*) from 表名;
- 指定查询某个列的行数时,会忽略含
NULL - count()内只支持一个参数,其他一样
2.SUM
select SUM(*) from 表名;
3.AVG
select AVG(*) from 表名;
平均值可能和原列类型不一致
4.MIN
select AVG(*) from 表名;
分组查询
把表的若干行分组,需要进行“分组依据”。
指定某一个列,这个列值相同的行就会分到同一个组里。
select 表达式 from 表名 group by 列名;
select role, AVG(salary) from emp GROUP BY role;
# 统计相同职位的薪资平均数,并返回职位和薪资临时表
SELECT role, AVG(salary) from emp where name != '博哥' GROUP BY role;
# 统计除"博哥"之外相同职位的薪资平均数,并返回职位和薪资临时表(查询前分组)
SELECT role, AVG(salary) from emp GROUP BY role having AVG(salary) < 15000;
# 统计相同职位的薪资平均数,并返回职位和薪资<15000的临时表(查询后分组)
查询前分组用WHERE,查询后分组用HAVING,可以同时使用
内置函数
函数一般都是通过select语句调用的,把函数放到列的位置
1.时间函数
| 函数 | 说明 |
|---|---|
| CURDATE() | 返回当前日期 |
| CURTIME() | 返回当前时间 |
| NOW() | 返回当前日期和时间 |
| DATE(date) | 提取datetime表达式的日期部分 |
| ADDDATE(date, INTERVAL 单位) | 向日期值添加时间 |
| SUBDATE(date, INTERVAL 单位) | 向日期值减去时间 |
| DATEDIFF(expr1, expr2) | 两个日期的差,expr1 - expr2 |
2.字符串函数
| 函数 | 说明 |
|---|---|
| CHAR_LENGTH(str) | 返回字符长度 |
| LENGTH(str) | 返回字节长度 |
| CONCAT(str1, str2, ...) | 返回拼接后字符串 |
| CONCAT_WS(分隔符, str1, str2, ...) | 返回拼接后带分隔符字符串 |
| LCASE(str) | 字符串转换成小写,LOWER() |
| UCASE(str) | 字符串转换成大写,UPPER() |
| HEX(str), HEX(N) | 将字符串、数字转换成16进制 |
| INSTR(str, substr) | 返回substring第一次出现的索引 |
| INSERT(str, pos, len, newstr) | 在指定位置插入字符串,最多不超过指定的字符数 |
| SUBSTR(str FROM pos FOR len) | 返回指定的子字符串 |
| REPLACE(str, from_str, to_str) | 把字符串str中所有的from_str替换为to_str,区分大小写 |
| STRCMP(expr1, expr2) | 逐个比较两个字符串,返回-1, 0, 1 |
| LEFT(str, len), RIFHT(str, len) | 返回字符串str中最左/右边的len个字符 |
| LTRIM(str), RTRIM(str), TRIM(str) | 删除给定字符串的前导、末尾、前导和末尾的空白符 |
| TRIM [{LEADING / TRAILING / BOTH}] [remstr] FROM | 删除给定字符串的前导、末尾、前导和末尾的指定字符 |
3.数学函数
| 函数 | 说明 |
|---|---|
| ABS(X) | 返回X的绝对值 |
| CEIL(X) | 返回不小于X的最小整数值 |
| FLOOR(X) | 返回不大于X的最大整数X |
| CONV(N, from_base, to_base) | 不同进制之间的转换 |
| FORMAT(X, D) | 将数字X化为“#, ###, ###”的格式,四舍五入到小数点后D位,以字符串形式返回 |
| RAND([N]) | 返回一个随机浮点值 |
| ROUND(X), ROUND(X, D) | 将参数X舍入到小数点后D位 |
| CRC32(expr) | 计算指定字符串的循环冗余校验值并返回一个32位无符号整数 |
4.其他函数
| 函数 | 说明 |
|---|---|
| version() | 显示当前数据库版本 |
| database() | 显示当前正在使用的数据库 |
| user() | 显示当前用户 |
| md5(str) | 对一个字符串进行md5摘要,摘要后得到一个32位字符串 |
| ifnull(val1, val2) | 如果val1为NULL,返回val2,否则返回val1 |
五、数据库约束
数据库约束会针对表的数据内容做出限制。在创建表的时候,跟随表的语句,一起被设置到数据库服务器中。
| MySQL约束类型 | 说明 |
|---|---|
| NOT NULL 非空约束 | 指定非空约束的列不能存储NULL值 |
| DEFALUT 默认约束 | 当没有给列赋值时候使用默认值 |
| UNIQUE 唯一约束 | 指定唯一约束的列每行数据必须有唯一值 |
| PRIMARY KEY 主键约束 | NOT NULL 和 UNIQUE 的结合,可以指定一个列或多个列,有助于防止数据重复和提高数据的查询性能 |
| FOREIGN KEY 外键约束 | 用于定义两个表之间的关联关系,可以确保数据的完整性和一致性 |
| CHECK 约束 | 用于限制列或数据在数据库中的值,确保数据的准确性和可靠性 |
# 非空约束
create table student(id int NOT NULL, student varchar(20));
insert into student values(null, null); # 报错
# 默认约束
create table student(id int, student varchar(20) DEFAULT "无名氏");
insert into student values(1); # 默认名字为“无名氏”
# 唯一约束
create table student(id int, student varchar(20) UNIQUE);
insert into student values(1, "张三"); # NULL和NULL不算重复
# 联合主键
create table student(name varchar(20), class varchar(20), primary key(name, class));
# 自增主键
create table student(id int primary key auto_increment, class varchar(20));
insert into student values(1, "张三");
insert into student values(2, "张三");
insert into student values(null, "张三"); # 自增为3
# 外键约束
create table class(class_id int primary key auto_increment, class_name varchar(10));
create table student(student_id int primary key auto_increment, student_name varchar(10),
class_id int, foreign key(class_id) references class(class_id));
# 学生班级id必须是班级表存在的班级id
# 自定义约束
create table student(id int, name varchar(20), age int, gender varchar(1),
check(age > 18), check(gender = "男" or gender = "女"));
# 学生年龄必须大于18,性别必须是男或女
- 一个表只能有一个主键,但是多个列可以作为主键
- 针对整数,可以自增主键
PRIMARY KEY - 自增主键只会在最大数自增,且即使数据删除,最大数也会保留
- 针对外键约束,指的是两个表之间的关联。假设一共只有三个班级,分别是class1, class2, class3。如果出现了有学生在class4这个班级的不合法数据,就应该由外键约束控制。换句话说,是班级表约束学生表,班级表是父表,学生表是子表。其次,父表约束子表的同时,子表也在约束父表。父表的删除/修改操作,也会收到子表外键的约束
- 针对主键列,自带索引。如果一个列没有主键,那么这个列不带有索引,就不能被外键约束。因为关联表必须带有索引!
六、数据库设计
三大范式
1.第一范式
数据表的每一列都是不可分割的原子数据项,而不是集合,数据,对象等非原子数据。
2.第二范式
在满足第一范式的基础上,不存在非关键字段对任意候选键的部分函数依赖,存在于表中定义了复合主键的情况。
复合主键:即联合主键,一个主键包含了多个列。
候选键:当一个主键只包含一个列时,一个列就是候选键;当一个主键包含多个列时,其中每一个被包含的列叫候选键。
非关键字段:除候选键之外的列。
完全函数依赖:通过整个主键,确定一个数据。
部分函数依赖:通过主键中的一部分,确定一个数据。
即:一张表中的非主键列,必须由整个主键确定
3.第三范式
再满足第二范式的基础上,不存在非关键字段,对任一候选键的传递依赖。
| ID | 学号 | 姓名 | 年龄 | 性别 | 学院 | 学院电话 | 学院地址 |
|---|---|---|---|---|---|---|---|
| 1 | 001 | 张三 | 18 | 男 | 经济管理学院 | 8888-8888 | 上海市浦东新区 |
| 2 | 002 | 李四 | 18 | 女 | 信息工程学院 | 6666-6666 | 上海市浦东新区 |
此表的学院电话和学院地址附属于学院,学院又附属于主键ID,则发生了传递依赖。通过分表来消灭传递依赖。
| ID | 学号 | 姓名 | 年龄 | 性别 |
|---|---|---|---|---|
| 1 | 001 | 张三 | 18 | 男 |
| 2 | 002 | 李四 | 18 | 女 |
| ID | 学院 | 学院电话 | 学院地址 |
|---|---|---|---|
| 1 | 经济管理学院 | 8888-8888 | 上海市浦东新区 |
| 2 | 信息工程学院 | 6666-6666 | 上海市浦东新区 |
设计过程
1.从业务逻辑中抽象的到抽象类/实体类
类对应的数据库中的表,类的属性对应数据表中的列。
2.确定实体和实体之间的关系,并画出E-R图
即表和表之间的关系:一对一,一对多,多对多。
3.根据E-R图完成Sql语句并创建数据库
- 表关系为一对一或一对多时,附表应该包含主表主键。
- 表关系为多对多时,引入一张关联表。
七、联合查询
联合查询/多表查询的前提,是多表之间存在一定关系。
笛卡尔积
笛卡尔积的结果是一张更大的表。列数是两列之和,笛卡尔积的行数是两行之积。
select * from student, class;
+------+-------+----------+----------+------------+
| id | name | class_id | class_id | class_name |
+------+-------+----------+----------+------------+
| 100 | meat1 | 1 | 2 | java101 |
| 100 | meat1 | 1 | 1 | java100 |
| 101 | meat2 | 1 | 2 | java101 |
| 101 | meat2 | 1 | 1 | java100 |
| 102 | meat3 | 2 | 2 | java101 |
| 102 | meat3 | 2 | 1 | java100 |
+------+-------+----------+----------+------------+
通过排列组合后可以把两个表的所有情况都罗列出来,但其中这里包含了无效数据。此时发现其中对应列的值相同,此时这个数据就应该被筛选出来作为合理的数据-连接条件。
select * from student, class where student.class_id = class.class_id;
# 通过表名.列名取消歧义
+------+-------+----------+----------+------------+
| id | name | class_id | class_id | class_name |
+------+-------+----------+----------+------------+
| 100 | meat1 | 1 | 1 | java100 |
| 101 | meat2 | 1 | 1 | java100 |
| 102 | meat3 | 2 | 2 | java101 |
+------+-------+----------+----------+------------+
进一步,基于这个结果,添加其他条件,满足其他的查询条件。
- 进行笛卡尔积
- 通过连接条件,进行筛选
- 根据实际需求场景,进一步添加其他条件
- 针对列进行筛选/计算/分组/聚合
内连接
上述代码编写的联合查询,也是在进行内连接,只是语法不同。
select * from 表1 inner [inner] join 表2;
select * from 表1 inner [inner] join 表2 on 条件;
select * from 表1 inner [inner] join 表2 on 条件 where 其他条件;
select 表名.列名 from 表1 [inner] join 表2 on 条件 where 其他条件;
外连接
对于MySQL来说,外连接分为左外连接'left join'、右外连接'right join',但不支持全外连接。
现在有两张表,他们的数据是一一对应的。
student
+------------+------+
| student_id | name |
+------------+------+
| 1 | 张三 |
| 2 | 李四 |
| 3 | 王五 |
+------------+------+
score
+------------+-------+
| student_id | score |
+------------+-------+
| 1 | 90 |
| 2 | 80 |
| 3 | 70 |
+------------+-------+
此时外连接和内连接是完全等价的。
select * from student join score on student.student_id = score.student_id;
# 内连接
+------------+------+------------+-------+
| student_id | name | student_id | score |
+------------+------+------------+-------+
| 1 | 张三 | 1 | 90 |
| 2 | 李四 | 2 | 80 |
| 3 | 王五 | 3 | 70 |
+------------+------+------------+-------+
select * from student left(right) join score on student.student_id = score.student_id;
# 外连接
+------------+------+------------+-------+
| student_id | name | student_id | score |
+------------+------+------------+-------+
| 1 | 张三 | 1 | 90 |
| 2 | 李四 | 2 | 80 |
| 3 | 王五 | 3 | 70 |
+------------+------+------------+-------+
如果两张表的数据不是一一对应时,左右外连接结果不同。
select * from student left join score on student.student_id = score.student_id;
# 左外连接
+------------+------+------------+-------+
| student_id | name | student_id | score |
+------------+------+------------+-------+
| 1 | 张三 | 1 | 90 |
| 2 | 李四 | 2 | 80 |
| 3 | 王五 | NULL | NULL |
+------------+------+------------+-------+
select * from student right join score on student.student_id = score.student_id;
# 右外连接
+------------+------+------------+-------+
| student_id | name | student_id | score |
+------------+------+------------+-------+
| 1 | 张三 | 1 | 90 |
| 2 | 李四 | 2 | 80 |
| NULL | NULL | 4 | 70 |
+------------+------+------------+-------+
外连接一般用于查询多余数据。
自连接
通过自连接,把行和行之间的关系,转成列和列之间的关系。查询时需要指定别名!
select * from score s1, score s2;
假设有两张表,一张学生表,一张成绩表。
student
+------+------+
| id | name |
+------+------+
| 1 | 张三 |
| 2 | 李四 |
| 3 | 王五 |
+------+------+
score
+------+------------+---------+
| id | java_score | c_score |
+------+------------+---------+
| 1 | 86 | 90 |
| 2 | 75 | 84 |
| 3 | 90 | 86 |
+------+------------+---------+
查询Java成绩比C成绩高的学生。先不筛选列来观察情况:
select * from student
join score s1 on student.id = s1.id
join score s2 on student.id = s2.id
where s1.java_score > s2.c_score;
+------+------+------+------------+---------+------+------------+---------+
| id | name | id | java_score | c_score | id | java_score | c_score |
+------+------+------+------------+---------+------+------------+---------+
| 3 | 王五 | 3 | 90 | 86 | 3 | 90 | 86 |
+------+------+------+------------+---------+------+------------+---------+
优化查询后就是想得到的结果:
select student.id, student.name, s1.java_score, s2.c_score from student
join score s1 on student.id = s1.id
join score s2 on student.id = s2.id
where s1.java_score > s2.c_score;
+------+------+------------+---------+
| id | name | java_score | c_score |
+------+------+------------+---------+
| 3 | 王五 | 90 | 86 |
+------+------+------------+---------+
子查询
将查询出来的结果,作为下一个查询条件。
假设有一张学生表:
+------+------+----------+
| id | name | class_id |
+------+------+----------+
| 1 | 张三 | 1 |
| 2 | 李四 | 1 |
| 3 | 王五 | 2 |
+------+------+----------+
查询和“张三”同一个班级的学生,可以用两个SQL语句。
select class_id from student where name = "张三";
+----------+
| class_id |
+----------+
| 1 |
+----------+
select name from student where class_id = 1 and name != "张三";
+------+
| name |
+------+
| 李四 |
+------+
也可使用子查询将两句合并为一句。虽然SQL语句更少了,但可读性变差了。
select name from student where class_id = (
select class_id from student where name = "张三"
) and name != "张三";
+------+
| name |
+------+
| 李四 |
+------+
当子查询返回多个列时,用IN关键字。
select * from 表名 where 列名 in (
select ...
);
合并查询
把多个查询结果,合并成一个查询结果。使用UNION或UNION ALL关键字。
select * from student where id = 1
union all
select * from student;
+------+------+----------+
| id | name | class_id |
+------+------+----------+
| 1 | 张三 | 1 |
| 2 | 李四 | 1 |
| 3 | 王五 | 2 |
| 1 | 张三 | 1 |
+------+------+----------+
使用UNION会剔除重复数据,UNION ALL则不会。但需确保两组合并的结果,列类型和个数需匹配。
八、索引
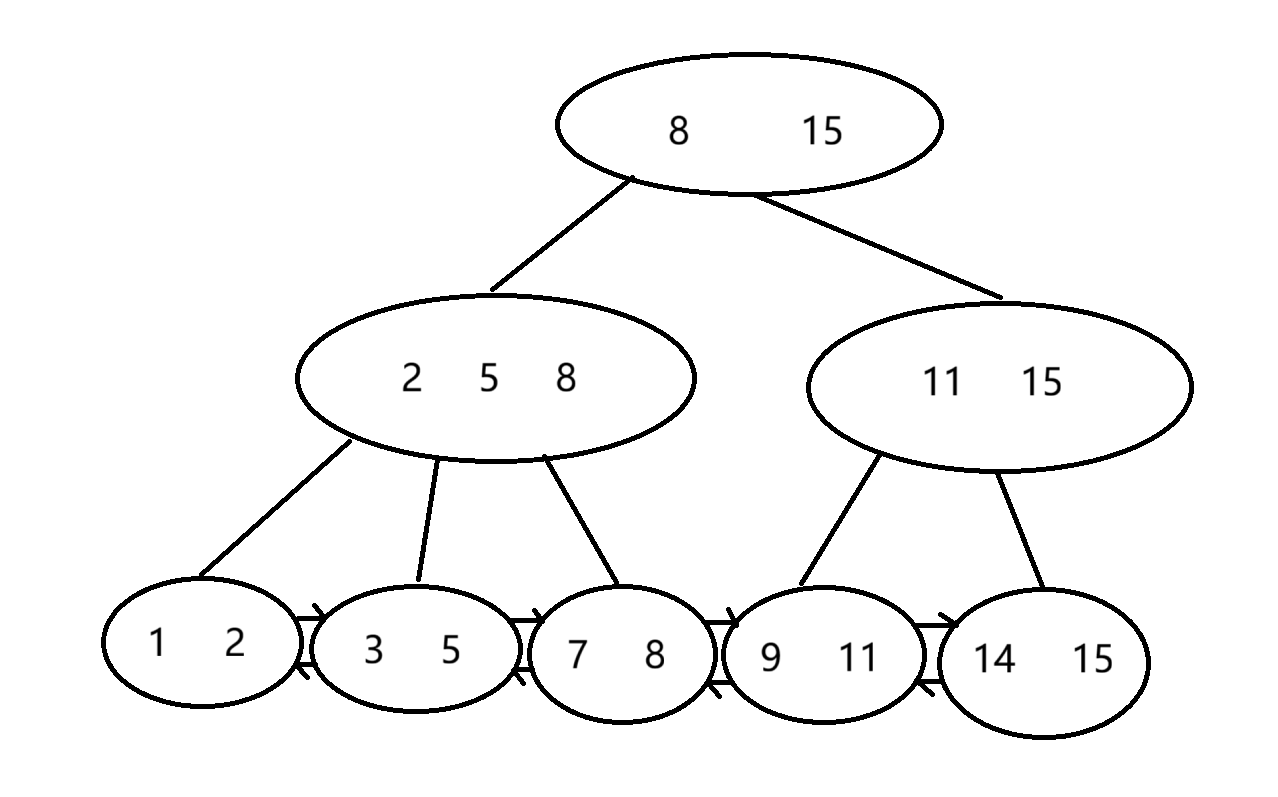
索引在数据库中是一个特殊的数据结构,可以加快查询速度,但会占据额外的存储空间。后续修改数据的时候,也会有额外的开销。
索引的数据结构
在日常开发中,数据库的查询操作占比最高。因此要选择一种查询效率最高的数据结构。二叉搜索树会由于不平衡的问题导致一边子树的长度过长。AVL树虽严格控制左右子树的长度,但会给增删改的操作制造更多的开销。而哈希表只能处理“相等”查询,不能处理“范围”查询。
因此,就出现了一种为数据库量身定制的数据结构:B+树。想了解B+树,就要知道B+树的前身:B树。
B树是一个N叉搜索树。每个结点保存N个值,每个结点有N + 1个子树。因此和红黑树相比,相同数目的元素B树比红黑树低很多。虽然此时在查询的时候要比较多次,但一次硬盘读取可以读多个值。

B+树是基于B树进行改进的,也是一个N叉搜索树。
- 每个结点保存N个值,每个结点有N个子树
- 父结点的值会在子结点中以最大值的身份出现。最后叶子结点的内容是整个数据集合的“全集”
- 由于当前的叶子结点是全集,因此只使用叶子结点存储涉及到的“数据行”,非叶子结点,只存储“索引列”

B+树相比于其他数据结构作为索引的优势:
- 作为一个N叉搜索树,高度更低。在查询的时候,访问硬盘的次数更少
- 所有的数据行都在叶子结点上,所有的查询操作最终都要落到叶子结点上。访问硬盘次数更稳定
- 叶子结点作为链表,适合进行范围查询
- 非叶子结点只存储ID,占据的空间小
页
B+树上的结点,在MySQL内部称为“页”。默认大小是16KB。
- 索引页(非叶子结点)只存储索引列
- 数据也(叶子结点)存储数据行
- 对于非主键列创建的索引,虽然也是B+树,但叶子节点就不是数据行了,而是主键id。
- 一个表可以有多个索引(B+树),只需要有一个B+树保存数据就行
索引分类
一个表,可以有多个索引。
1.主键索引
创建表时根据主键创建的索引。
2.普通索引
通过SQL语句创建的索引。
3.唯一索引
创建的表带有UNIQUE关键字的。
4.聚集索引
对于InnoDB来说,就是主键索引。
5.非聚集索引
对于InnoDB来说,就是非主键索引。
6.索引覆盖
查询的内容已经包含在索引列中。
使用索引
1.建立索引
当一张表存在主键约束、外键约束或唯一约束时,MySQL会为其自动创建索引。如果不指定任何约束时,MySQL会自动为每一个表生成一个隐藏列并为其创建索引。
创建索引操作可能很危险,如果针对一张大表创建索引,会触发大量的硬盘IO。最好在创建表时指定索引。
1.1 主键索引
create table 表名 (列名 类型 primary key);
create table 表名 (列名 类型, primary key (列名));
create table 表名 (列名 类型 primary key);
alter table 表名 add primary key (列名);
alter table 表名 modify 列名 类型 auto_increment;
1.2 唯一索引
create table 表名 (列名 类型 unique);
create table 表名 (列名 类型, unique (列名));
create table 表名 (列名 类型);
alter table 表名 add unique (列名);
1.3 普通索引
create table 表名 (列名 类型, index (列名));
create table 表名 (列名 类型);
alter table 表名 add unique (列名);
create table 表名 (列名 类型);
create index 索引名 on 表名(列名);
2.建立复合索引
create table 表名 (列名1 类型, 列名2 类型, index (列名1, 列名2));
create table 表名 (列名1 类型, 列名2 类型);
alter table 表名 add unique (列名1, 列名2);
create table 表名 (列名1 类型, 列名2 类型);
create index 索引名 on 表名(列名1, 列名2);
3.查看索引
show keys from 表名;
show index from 表名;
desc 表名;
4.删除索引
4.1 主键索引
alter table 表名 drop primary key;
4.2 其他索引
alter table 表名 drop index 索引名;
5.索引失效问题
可以在SQL语句前使用EXPLAIN关键字查看是否包含索引。当TYPE列显示All为全表查询,const为索引。
- 查询操作时没有使用索引列
- 查询索引列时索引值较单一,例如"男"和"女"
- 查询时针对索引列进行表达式运算
- 查询条件中包含了
OR,一边是索引列的条件,一边是非索引列的条件 - 字符串查询时包含了
LIKE时,通配符%或_放在字符串开头 - 查询索引列时条件包含
!=或NOT - 多个表联合查询时,但表的字符集不一致
- 设定复合索引时(例如a,b,c),使用b或c或b,c查询
九、事务
开发中,某个功能需要多个SQL配合完成。事务可以把多个SQL打包成一个整体,要么全部执行完,要么全都不执行(回滚到执行前状态),避免出现执行一般的情况。
事务的四个核心特性:
- 原子性:多个SQL是一个整体
- 一致性:数据正确符合实际情况
- 持久性:事务对数据做出的修改能够持久生效(写入硬盘)
- 隔离性:讨论并发情况下可能出现的问题:脏读问题、不可重复读问题和幻读问题
- 脏读:第一个事务正在对数据进行修改时,被第二个事务读取,此时读取的数据可能是脏数据。此时应规定未被提交的修改,不能被其他事务读取到。
- 不可重复读:同一个事务多次读取同一个数据结果不同。此时应给“读取”操作加锁。
- 幻读:同一个事务针对某个查询,多次读取到的“结果集”(查询得到的临时表)不同。此时需要让服务器对事务进行彻底“串行化”。
事务操作
START TRANSACTION; # 开启事务
COMMIT; # 提交事务
ROLLBACK; # 回滚事务
SAVEPOINT 保存点名; # 设置保存点
ROLLBACK TO 保存点名; # 回滚到保存点
隔离级别
MySQL为程序员提供了多个“隔离级别”让程序员自主选择隔离性。可以通过SQL语句或MySQL的配置文件修改隔离级别。
- READ UNCOMMITTED -> 隔离性性最弱,并发性最强,效率最高 -> 脏读、不可重复读、幻读
- READ COMMITTED -> 隔离性提高,并发性降低,效率降低 -> 不可重复读、幻读
- REPEATABLE READ(默认)-> 隔离性提高,并发性降低,效率降低 -> 一部分幻读
- SERIALIZABLE -> 隔离性最高,并发性最低,效率最低
1.通过SQL语句(临时)
如果MySQL服务器重启,当前命令失效。
SELECT @@GLOBAL.transaction_isolation; # 查询隔离级别
SET [GLOBAL|SESSION] TRANSACTION ISOLATION LEVEL 隔离级别|访问模式;
2.通过MySQL的配置文件(长期)
在 C:\ProgramData\MySQL\MySQL Server 8.0\my.ini" 文件中修改。
十、视图
视图是一个虚拟的表。它不占据存储空间,而是把其他的查询结果集临时保存下来,组织成表一样的结构。
创建视图
通过创建视图,把一系列查询语句返回的表临时保存起来。以后使用视图进行查询,相当于“子查询”。
CREATE VIEW 视图名 (列名1, 列名2...) AS 查询语句;
修改视图
一般来说,修改表时,视图会同时修改;修改视图,表也会同时修改。但不是所有视图都能修改,本质是因为修改视图不能与原始表一一对应。
- 当创建视图的时候,使用了聚合函数
- 视图关联的查询中,使用了子查询
- 视图关联的查询中,包含去重查询
- 视图关联的查询中,包含
GROUP BY或HAVING - 视图关联的查询中,包含
UNION或UNION ALL - 视图关联的查询中,使用了不可修改的视图
删除视图
DROP VIEW 视图名;
十一、JDBC编程
实际开发中,很少使用JDBC进行数据库操作。
增删改操作
import com.mysql.cj.jdbc.MysqlDataSource; // 导入的MySql驱动包
import javax.sql.DataSource; // JDBC规范的核心接口
import java.sql.Connection;
import java.sql.PreparedStatement;
import java.sql.SQLException;
import java.util.Scanner;
public class Demo1 {
public static void main(String[] args) throws SQLException {
// 1. 创建“数据源”
DataSource dataSource = new MysqlDataSource(); // JDBC定义接口,MySql驱动包实现接口
((MysqlDataSource) dataSource).setURL("jdbc:mysql://127.0.0.1:3306/meat" +
"?characterEncoding=utf8&useSSL=false&allowPublicKeyRetrieval=true");
((MysqlDataSource) dataSource).setUser("root");
((MysqlDataSource) dataSource).setPassword("1234");
// 2. 和数据库进行网络连接
Connection connection = dataSource.getConnection(); // 封装了拨号和接通的过程,失败会抛出异常
// 3. 构造SQL语句
// 字符串的SQL不符合JDBC要求,需要SQL字符串构造出“语句”对象
// JDBC提供了 Statement 和 PreparedStatement
// 使用 PreparedStatement 就能让SQL语句的解析操作放在客户端上完成
Scanner sc = new Scanner(System.in);
System.out.print("学号:");
int id = sc.nextInt();
System.out.print("姓名:");
String name = sc.next();
System.out.print("班级:");
int class_id = sc.nextInt();
String sql = "insert into student values(?, ?, ?)"; // ? 占位符
PreparedStatement statement = connection.prepareStatement(sql);
statement.setInt(1, id); // JDBC 在替换中进行检查校验,验证是否存在安全隐患
statement.setString(2, name);
statement.setInt(3, class_id);
// 4. 发送SQL语句到服务器上执行
int n = statement.executeUpdate(); // n 表示这样的操作影响了多少行
System.out.println("n = " + n);
// 5. 释放上述资源,且释放顺序和创建顺序相反
statement.close();
connection.close();
}
}
查询操作
import com.mysql.cj.jdbc.MysqlDataSource;
import javax.sql.DataSource;
import java.sql.Connection;
import java.sql.PreparedStatement;
import java.sql.ResultSet;
import java.sql.SQLException;
public class Demo2 {
public static void main(String[] args) throws SQLException {
// 1. 创建数据源
DataSource dataSource = new MysqlDataSource();
((MysqlDataSource) dataSource).setUrl("jdbc:mysql://127.0.0.1:3306/meat?" +
"characterEncoding=utf8&useSSL=false&allowPublicKeyRetrieval=true");
((MysqlDataSource) dataSource).setUser("root");
((MysqlDataSource) dataSource).setPassword("1234");
// 2. 连接数据库
Connection connection = dataSource.getConnection();
// 3. 构造SQL语句
String sql = "select * from student";
PreparedStatement statement = connection.prepareStatement(sql);
// 4. 返回结果集
ResultSet resultSet = statement.executeQuery();
// 5. 遍历结果集
while (resultSet.next()) {
int id = resultSet.getInt("id");
String name = resultSet.getString("name");
int class_id = resultSet.getInt("class_id");
System.out.println(id + " " + name + " " + class_id);
}
// 6. 释放资源
resultSet.close();
statement.close();
connection.close();
}
}

参与讨论
(Participate in the discussion)
参与讨论